How To Make Fatty Acid Methyl Esters

A Beginner S Guide To Mass Spectrometry Of Fatty Acids Part 1 Methyl Esters


Composition Formula And Molecular Weight Of Fatty Acid Methyl Download Table

Fatty Acid Methyl Ester Market In Deep Analysis And Experts Review Report 2021 2026 The Manomet Current

Composition Formula And Molecular Weight Of Fatty Acid Methyl Download Table

Production Of Methyl Esters From Fried Soybean Oil Using Dimethyl Carbonate With Hydrobromic Acid Sciencedirect

Representative Gc Chromatogram Of Fatty Acid Methyl Esters Fame From Download Scientific Diagram

Conversion Of Fatty Acid Methyl Esters By Saponification For Uk 37 Paleothermometry Protocol

The Melting Points Of Fatty Acids And Their Corresponding Methyl Esters Download Table

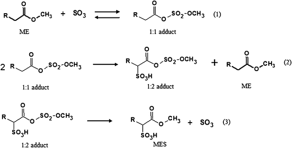
Coloration Process In The Sulfonation Of Fatty Acid Methyl Ester With Sulfur Trioxide Springerlink

Transesterification An Overview Sciencedirect Topics

Fatty Acid Methyl Esters Fame Fact Sheet

Summary Of The Identified Fatty Acid Methyl Esters Fame Download Scientific Diagram

Pdf Methods Of Preparation Of Fatty Acid Methyl Esters Fame Statistical Assessment Of The Precision Characteristics From A Collaborative Trial
Posting Komentar untuk "How To Make Fatty Acid Methyl Esters"