Contoh Surat Perjanjian Kerjasama Kemitraan

Contoh Surat Perjanjian Kerjasama Kemitraan Usaha Bagi Contoh Surat
![]()
Lampiran A Bentuk Surat Perjanjian Kemitraan Kerja Sama Operasi Kso Kertas Segel Surat Perjanjian Kemitraan Kerjasama Operasi Kso Carlos Dominica Academia Edu

Contoh Surat Perjanjian Kerjasama Jasa
![]()
Contoh Surat Perjanjian Kerjasama
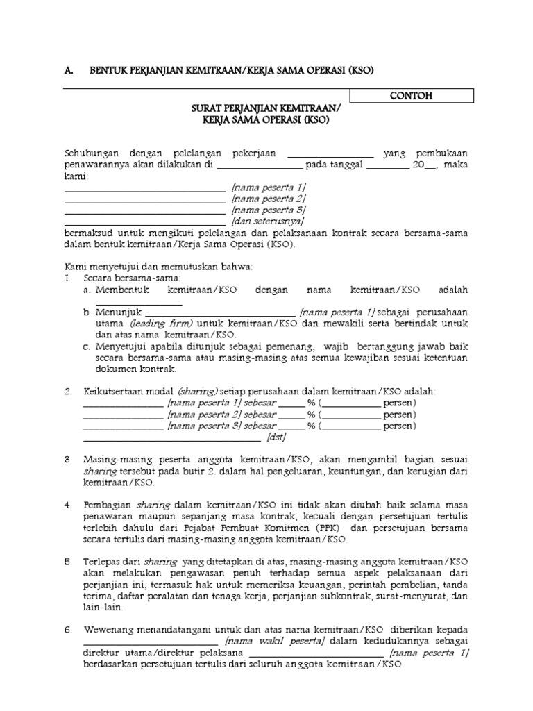
Lampiran 14 Surat Perjanjian Kemitraan

Contoh Surat Perjanjian Kerjasama Yang Atau Mou Benar Linovhr Blog

Download 5 Contoh Surat Perjanjian Kerjasama Usaha Doc Pdf

Contoh Surat Perjanjian Kerjasama Usaha Peternakan Ayam Contoh Surat

Contoh Mou Dan Kumpulan Template Mou Untuk Perjanjian Kerja Sama Idcloudhost

Contoh Surat Perjanjian Kerjasama Yang Benar Dan Sah Detiklife

Posting Komentar untuk "Contoh Surat Perjanjian Kerjasama Kemitraan"